← Home

Part 2: Neural Nets - Forward & Back

Source: GeeksforGeeks

Primer: WANTED: Bluebird

The FBB (federal bureau of birds) posted large reward for the criminal Bluebird. Pikachu is looking through a large database pictures of birds in hopes of cashing in. Image by image, Pikachu gets more and more tired. "I know!" I'll come up with a model to find Bluebird while I sleep. And thus, Neural Networks was born.

Source: Me :)

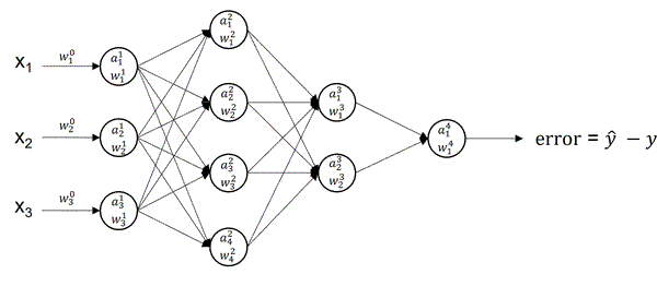
WTF is a Neural Network?

Before we define what a neural network is, we need to understand the components of it. We can break it down into layers and neurons.

So what is a neuron? Similar to the brain, a neuron is a component of the overarching network. Imagine a large supply chain working together to produce a finished good. Different parts of the supply chain are optimized to produce inividual goods that result in a finished product. A neuron acts like a factory or one node in the supply chain. Like a factory, it takes in inputs, produces outputs.

Neuron = Linear Function

A neuron contains outputs from other neurons as inputs. In other words, it is a linear function of weights and biases. $$ y = \sum W x_i + b_i $$ Since a neuron's input depends on another's output, the functions are implicitly composite: $$ y = W_3 (W_2 (W_1 x + b_1) + b_2) + b_3 $$ I will be using $\theta$ instead of $W$ but they are the same thing.
Similar to real life, we can impose regulations on our factories (neurons) to produce desired results. In a neural network (NN), we call regulations activation functions. They regulate the production of goods or in this case, the strength of the neurons.

Activation Function

$$\phi (y = \sum W x_i + b_i) $$

An activation function, $\phi$, acts like a gate or knob to tweak the neuron output. Open the gate more = stronger. Close the gate more = weaker. This introduces nonlinearity that makes NN work (see nitty-gritty details below).
What about layers? Layers are made up of neurons that feed other layers. Layers are like different countries in globally connected supply chain. Each country specializes in different things. It can be thought of that each country contains specialized factories. This means that each layer intends to learn a pattern about the data.
Source: 3B1B


Note

There are a LOT of hyperparameters associated with NNs. Here are some associated with the layers:



And that's all a NN is: a chain of specialized layers (built of neurons) that try to learn something about the data. Each neuron gets it's input from the neuron's before it (except the very first one of course - these can be thought of as natural resources), forming a linear chain. Regulations (activation functions) introduce nonlinearity so we can get more complex results. So don't be afraid of NNs. It is nothing more than a chain of linear regressions regulated by activation functions. In other words, a supply chain.

Overfitting NNs

Since we have so many paramters, it is very easy to overfit NNs. Read up on regularization for linear regression to learn some methods we can use to control overfitting. Another way is Dropout: where random neurons get deactivated to prevent system overreliance on that neuron.


Steps For Training Your Network

1. Initialize initial parameters (these are like natural resources)

While not converged:

2. Forward pass (send the goods around)
3. Backward pass (optimization of routes - Back Propagation)
4. Update params & gradient descent then check convergence

Training a NN involves a forward pass and a backward pass to update your beliefs ($W$ & $b$). Inference is when you just run your NN (forward pass) and expect to get some output (usually from a trained model).
Source: Towards AI

Note

In real life, instead of using While not converge we use the following hyperparameters:

The While loop is then replaced by:

For each epoch in num_epochs:
For each batch:
...

Nitty-Gritty Details of Our Supply Chain

We will be using this example:
Source: Madhi Roozbahani (Georgia Tech)

1. Initialize Parameters

One crucial parameter is our weights denoted by $\theta$. $\theta$ should never start at 0. Why? Because then chaining layers will always result in 0s (from the multiplication). Here you might also ask what do we pass in? Well, it depends on the problem you are trying to solve. At the end of the day, we pass in features, $x_i$, or datapoints, represented by numberical values. If you were trying to fit a line, $x$ could be a bunch of line values. You could even map words into numbers and pass them in (LLMs). Here, Pikachu might want to transform an image of Bluebird into pixel values.

Note

The last layer's activation function determines the output we will get and thus we need to match it with the problem we are trying to solve. So if we are trying to solve classification, the last layer's activation function might do a softmax (converts all values into probabilities) and we take the highest probability to output a classification result.

2. Forward Pass

In this step, we calculate the $u$'s (linear regression output) and $o$'s (output after activation function). Each neuron produces $u$ but we have to apply regulation $o$.

Layers

See how in the first layer, every feature neuron is connected to some neuron (showed in brown) in the hidden layer? This is known as Fully Connected Layer A Hidden Layer are the intermediary layers between the first and last layer.
We will first use a simple example for the forward pass (notice the activation functions):
Source: Madhi Roozbahani (Georgia Tech)

Mathematically, we have: $$ \begin{aligned} u_{11} &= \theta_0 + \theta_2 x_i = u_{11} = o_{11} \quad \text{linear activation function $\phi(u) = u$} \\ u_{12} &= \theta_1 + \theta_3 x_i = u_{12} = o_{12} \\ u_{21} &= \theta_4 + \theta_5 o_{11} + \theta_6 o_{12} \\ u_{21} &= o_{21} = f(x) \\ f(x) &= \theta_4 + \theta_5 (\theta_1 + \theta_3 x_i) + \theta_6 (\theta_1 + \theta_3 x_i) \\ &= \theta_4 + \theta_5 \theta_1 + \theta_5 \theta_3 x_i + \theta_6 \theta_1 + \theta_6 \theta_3 x_i \\ &= \theta_4 + \theta_5 \theta_1 + \theta_6 \theta_1 + \theta_5 \theta_3 x_i + \theta_6 \theta_3 x_i \\ \end{aligned} $$ let $\theta_4 + \theta_5 \theta_1 + \theta_6 \theta_1 = \theta_0$ and $\theta_5 \theta_3 x_i + \theta_6 \theta_3 x_i = \theta_i x$: $$ \begin{aligned} f(x) &= \theta_0 + \theta_i x \end{aligned} $$ Since all the activation functions are linear, we will get a linear function back. Again, a NN is just a chain of linear regressions. We need to add activation functions to make our NN nonlinear. We can modify the last layer's activation function to fit our needs (make it into a probability, etc.).

Note

If all activation functions are linear, we will get purely linear function back since $$ \phi(u) = u $$ for all layers.

Going back to the original example: $$ \begin{aligned} u_{11} &= \theta_0 + \theta_2 x_i \\ o_{11} = o(u_{11}) &= \frac{1}{1 + e^{-u_{11}}} \\ u_{12} &= \theta_1 + \theta_3 x_i \\ o_{12} = o(u_{12}) &= \frac{1}{1 + e^{-u_{12}}} \\ u_{21} &= \theta_4 + \theta_5 o_{11} + \theta_6 o_{12} \\ o_{21} &= u_{21} = f(x) \\ f(x) &= \theta_4 + \theta_5 \cdot \frac{1}{1 + \exp (-[\theta_0 + \theta_2 x_i])} + \theta_6 \cdot \frac{1}{1 + \exp (-[\theta_1 + \theta_3 x_i])} \end{aligned} $$ But what does this mean? $$ \begin{aligned} \theta_4 &= \text{vertical translation} \\ \theta_5, \theta_6 &= \text{stretch or squeeze} \\ \theta_0, \theta_1, \theta_2, \theta_3 &= \text{horizontal translation} \\ \end{aligned} $$ Notice that by adding some nonlinearity, we can start to model complex functions. More and more of these layers mean more complexity where each layer is specialized at different things.

Source: Xinyu You (yogayu.github.io)


3. Backward Pass (Back Propogation)

Okay. Now we got our output. We need to go backwards and optimize our $\theta$ weights. How did we do this before? Gradient descent (step 4)! $$ \theta_{new} = \theta_{old} - \alpha \nabla E_{\theta_i}(\theta) $$ Now we have to calculate the gradients for every input and then optimize them all later. This means we will need a $\nabla E_{\theta_i}(\theta)$ matrix representing all the errors from our layers and perform gradient descent on it. Explicity, we want to find the error given by each weight $\frac{\partial E}{\partial \theta_i}$ which tells us how much did this $\theta_i$ influence our error. Before this, we have to calculate our loss function (assume we use MSE) to even use $\nabla E(\theta)$. Since we only have one datapoint here, MSE simplifies: $$ \begin{aligned} L(\theta) = E(\theta) &= \frac{1}{N} \sum_i^N (y - \hat{y})^2 \\ E(\theta) &= (y - \hat{y})^2 \\ \nabla E_{\theta}(\theta) &= -(y - f(x)) \frac{\partial f(x)}{\partial \theta}, \quad \text{$f(x) = \hat{y}$}\\ \end{aligned} $$ Note that since we found $f(x)$ already in the forward pass and are given label $y$, we can treat the first term like a constant. $$ \begin{aligned} \nabla E_{\theta}(\theta) &= \Delta \frac{\partial f(x)}{\partial \theta}, \quad \text{$\Delta = -(y - f(x))$} \end{aligned} $$ Since we are calculating with repect to $\theta$, we need to do find the derivative for each $\theta_i$. Recall $f(x) = o_{21} = u_{21} = \theta_4 + \theta_5 o_{11} + \theta_6 o_{12}$.

Hidden layer output: $$ \begin{aligned} \nabla E_{\theta_4} (\theta) &= \Delta \cdot 1 = \Delta \\ \nabla E_{\theta_5} (\theta) &= \Delta \cdot o_{11} \\ \nabla E_{\theta_6} (\theta) &= \Delta \cdot o_{12} \end{aligned} $$ Hidden layer input: $$ \begin{aligned} \nabla E_{\theta_3} (\theta) = \frac{\partial f(x)}{\partial o_{12}} \cdot \frac{\partial o_{12}}{\partial u_{12}} \cdot \frac{\partial u_{12}}{\partial \theta_{3}} &= a \cdot b \cdot c \\ &= \theta_6 \cdot b \cdot x_i \\ o_{12} &= [1 + \exp(-u)] ^ {-1} \\ \frac{\partial o_{12}}{\partial \theta_3} = b &= -1 \cdot -1 \cdot (1 + \exp (-u))^{-2} \cdot \exp (-u) \\ b &= \frac{\exp (-u)}{[1 + \exp (-u)]^2} = \frac{1 + \exp (-u) - 1}{[1 + \exp (-u)]^2} \\ b &= \frac{1}{1 + \exp (-u)} \left[ \frac{1 + \exp (-u)}{1 + \exp(-u)} - \frac{1}{1 + \exp(-u)} \right] \\ b &= o_{12} [1 - o_{12}] \qquad \qquad \text{This form can be applied to all of the others!!} \\\\ \nabla E_{\theta_3} (\theta) &= \Delta \cdot \theta_6 \cdot o_{12} [1 - o_{12}] \cdot x_i \\ \nabla E_{\theta_2} (\theta) &= \Delta \cdot \theta_5 \cdot o_{11}[1 - o_{11}] \cdot x_i \\ \nabla E_{\theta_1} (\theta) &= \Delta \cdot \theta_6 \cdot o_{12}[1 - o_{12}] \\ \nabla E_{\theta_0} (\theta) &= \Delta \cdot \theta_5 \cdot o_{11}[1 - o_{11}] \\ \end{aligned} $$ Gradients: $$ \nabla E(\theta) = \begin{bmatrix} \frac{\partial E}{\partial \theta_0} \\[4pt] \frac{\partial E}{\partial \theta_1} \\[4pt] \frac{\partial E}{\partial \theta_2} \\[4pt] \frac{\partial E}{\partial \theta_3} \\[4pt] \frac{\partial E}{\partial \theta_4} \\[4pt] \frac{\partial E}{\partial \theta_5} \\[4pt] \frac{\partial E}{\partial \theta_6} \end{bmatrix} = \begin{bmatrix} \Delta \cdot \,\theta_5\,o_{11}(1-o_{11}) \\ \Delta \cdot \,\theta_6\,o_{12}(1-o_{12}) \\ \Delta \cdot \,\theta_5\,o_{11}(1-o_{11})\,x_i \\ \Delta \cdot \,\theta_6\,o_{12}(1-o_{12})\,x_i \\ \Delta \\ \Delta \cdot \,o_{11} \\ \Delta \cdot \,o_{12} \end{bmatrix} $$ $$ \Delta = -(y - f(x)) $$

Source: machinelearningknowledge.ai


4. Checking for convergence

Now, we can do gradient descent normally: $$ \theta_{new} = \theta_{old} - \alpha \nabla E(\theta) $$ Then we can check if $\theta_{new} - \theta_{old} < \text{threshold}$ to break out.

Conclusion

So how can Pikachu find Bluebird? Well, he will have to do the following:

  1. Convert images to pixel (numbers)
  2. Build a NN with different layers + activations
  3. Train his NN model (steps above + last activation layer = softmax for classification)
  4. Inference using trained model
  5. Cash in bounty

Note

We would typically use *CNN (Convolutional Nerual Networks) architecture for this task so the model can learn useful features from images. CNNs have things like pooling and convolutions (sliding kernels) to detect spatial features and build feature maps. Under the hood, CNN is just another NN built specifically for images (might cover in the future).

Great! We've learned that a NN is nothing but a fancy chained linear regression model with gates (or else it would just be a linear regression model). Everything works together like a supply chain to produce something we want!

Source: Me :)